Define stack. Why stack is considered as an ADT? List any four applications of stack.
Evaluate the following postfix expression using the stack: 4 5 + 7 3 - 2 + *
What is tower of Hanoi problem? How recursion can be used of Hanoi problem?
Define hashing. Explain how to resolve collisions during hashing using open addressing.
What is binary search? Trace the algorithm of binary search to search a key 12 in the data: 11, 19, 5, 2, 7, 21, 8, 21, 12
What is big-oh notation? Explain about divide and conquer strategy with example.
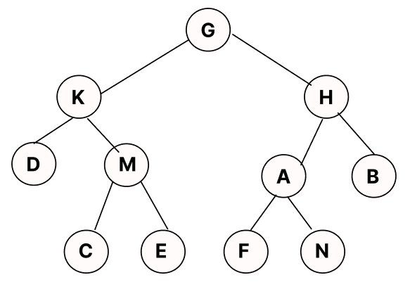
What are the depth and degree of a node in a tree? Perform pre-order, in-order and post-order traversal of the following tree: 
Attempt any TWO questions
[2x10=20]How dynamic implementation of the queue can be done? Explain with algorithm. Also explain how insertion and deletion of a node can be done at the end of a singly linked list with algorithm.
Define complete binary tree and skewed tree. Write a function to implement heap sort and sort the following data using heap sort: 12, 9, 1, 13, 16, 24, 21, 5
How breadth first traversal and depth first traversal can be used for traversing a graph? Explain with example. Use Dijkstra's algorithm to find the shortest path from node A to all other nodes for the following graph. 